Metoda operatorowa oparta jest głównie na wykorzystywaniu transformaty Laplace’a, a także odwrotnej transformaty Laplace’a.

Oryginałem nazywamy funkcję przed transformacją. Transformatą jest wynik transformacji z funkcji oryginału.
Funkcja jednostkowa – funkcja Heaviside’a (skok jednostkowy)
Jest to funkcja nieciągła, która przyjmuje wartości równe zero dla ujemnych argumentów (w tym przypadku czas), a także wartości równe 1 w pozostałych przypadkach. Funkcję jednostkową można opisać przy pomocy wzoru i wykresu:

W celu uproszczania obliczeń przedstawimy tabelkę z przekształceniami, także cała trudność w rozwiązywaniu tego typu zadań sprowadza się do podstawiania pod wzór i układania odpowiednich równań.
TABELKA Z PRZEKSZTAŁCENIAMI

SPLOT FUNKCJI
Splot funkcji to działanie, które daje w wyniku inną funkcję postrzeganą jako zmodyfikowana wersja dwóch oryginalnych funkcji. Wzór – definicja:


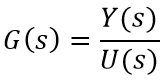
TRANSMITANCJA
Transmitancja – to stosunek transformaty Laplace’a z sygnału wyjściowego do transformacji sygnału wejściowego badanego układu przy założeniu, że warunki początkowe są zerowe.

SCHEMATY OPERATOROWE ELEMENTÓW RLC
Rezystor:
Dziedzina czasu: u(t)=Ri(t)Dziedzina transformat:
U(s)=RI(s)
Cewka:
Impedancja operatorowa: Z_{L}(s)=sL
Admitancja operatorowa: Y_{L}(s)=\frac{1}{sL}
Kondensator:
Admitancja operatorowa: Y_{C}(s)=sC
Impedancja operatorowa: Z_{C}(s)=\frac{1}{sC}
Stała czasu: \tau = RC
STANY NIEUSTALONE
Stany nieustalone to nic innego jak stany przejściowe, które występują w układzie i uwidocznione są w sygnale wyjściowym. Zazwyczaj stan taki trwa krótki okres czasu, aż do momentu ustalenia się określonej wartości sygnału wyjściowego. Ogólnie rzecz ujmując jest to zjawisko niepożądane, jednak w rzeczywistych układach elektrycznych jest praktycznie nieuniknione.
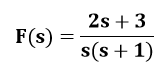
Przykład 1 (metoda operatorowa – rozkład ułamków)
Poniżej podano wzór pewnej funkcji. Należy rozłożyć ją na ułamki proste.

Zasada rozkładu: Dowolną funkcję wymierną przedstawiamy za pomocą sumy ułamków. Postać mianownika i licznika zależna jest od stopnia potęgi czynników w mianowniku wielomianu rozkładalnego.
Aby obliczyć A i B mnożymy daną funkcję przez czynnik w mianowniku, następnie wstawiamy miejsce zerowe tego czynnika w miejsca pozostałych argumentów.
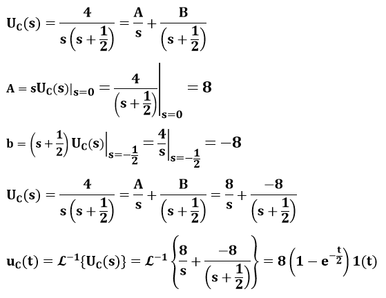
Przykład 2 (metoda operatorowa – prosty układ)
Poniżej podano schemat ideowy obwodu i odpowiednie dane, w tym pobudzenie. Należy znaleźć napięcie na kondensatorze. Zakłada się, że warunki początkowe są zerowe.

W pierwszej kolejności przejdziemy na schemat operatorowy i zamienimy funkcję napięcia źródła na postać operatorową zgodnie z transformatą Laplace’a.

Aby wyliczyć napięcie na kondensatorze należy skorzystać z dzielnika napięcia. Wstawmy w schemat impedancję kondensatora, a następnie wyobraźmy sobie zaciski na tej impedancji (jak niżej na rysunku).



Następnie rozłóżmy wynik na ułamki proste i przeprowadźmy operację odwrotnej transformaty Laplace’a. W ten sposób otrzymamy wynik.

Ostateczny wynik przebiegu czasowego napięcia panującego na kondensatorze:

<< Spis treści Technika analogowa >>



